>┊
首页 | 最新需求 | 最新现货 | IC库存 | 供应商 | IC英文资料库 | IC中文资料库 | IC价格 | 电路图 | 应用资料 | 技术资料
 IC型号: 
您现在的位置:首页 >  IC英文资料库 进入手机版 
 
资料编号:1014963
 
资料名称:M74HC85RM13TR
 
文件大小: 326K
   
说明
 
介绍:
4-BIT MAGNITUDE COMPARATOR
 
 


: 点此下载
 
1
浏览型号M74HC85RM13TR的Datasheet PDF文件第2页
2
浏览型号M74HC85RM13TR的Datasheet PDF文件第3页
3
浏览型号M74HC85RM13TR的Datasheet PDF文件第4页
4
浏览型号M74HC85RM13TR的Datasheet PDF文件第5页
5
浏览型号M74HC85RM13TR的Datasheet PDF文件第6页
6
浏览型号M74HC85RM13TR的Datasheet PDF文件第7页
7
浏览型号M74HC85RM13TR的Datasheet PDF文件第8页
8
浏览型号M74HC85RM13TR的Datasheet PDF文件第9页
9
 
本平台电子爱好着纯手工中文简译:截至2020/5/17日,支持英文词汇500个
1/10july 2001
高 速度 :
t
pd
= 20 ns (典型值.) 在 v
抄送
= 6v
低 电源 耗散:
抄送
=4
µ
一个(最大值.) 在 t
一个
=25°C
高 噪声 免疫:
v
NIH
= v
NIL
= 28 % v
抄送
(最小.)
对称 输出 阻抗:
|I
| = 我
ol
平衡式 传播 延误:
t
PLH
t
PHL
宽 操作 电压 范围:
v
抄送
(opr) = 2v 至 6v
管脚 和 功能 兼容 与
74 系列 85
描述
这 m74hc85 是 一个 高 速度 cmos 4-有点
震级 比较器 预制 与
硅 闸门 c
2
mos 技术.
这个 比较器 比较 两个 4-有点 字词 和
提供 一个 高 电压 水平 开启 一个 的 这 一个>b
出点, 一个=b 出点 和 一个&指示灯;b 出点 产出. 这 比较
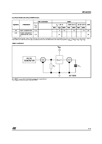
有点 号码 是 很容易 展开 由 层叠
几个 设备 作为 显示 入点 这 典型
应用程序.
全部 输入 是 配备 与 保护 电路
反对 静态 放电 和 瞬态 超额
电压.
M74HC85
4-有点 震级 比较器
管脚 连接 和 iec 逻辑 符号
订单 代码
包装 导管 t &放大器; 右
倾角 M74HC85B1R
SOP M74HC85M1R M74HC85RM13TR
TSSOP M74HC85TTR
TSSOPDIP SOP
资料评论区:
点击回复标题作者最后回复时间

标 题:
内 容:
用户名:
手机号:    (*未登录用户需填写手机号,手机号不公开,可用于网站积分.)
      
关于我们 | 联系我们
电    话13410210660             QQ : 84325569   点击这里与集成电路资料查询网联系
联系方式: E-mail:CaiZH01@163.com