>┊
首页 | 最新需求 | 最新现货 | IC库存 | 供应商 | IC英文资料库 | IC中文资料库 | IC价格 | 电路图 | 应用资料 | 技术资料
 IC型号: 
您现在的位置:首页 >  IC英文资料库 进入手机版 
 
资料编号:1084802
 
资料名称:MA4000(N) Series
 
文件大小: 108493K
   
说明
 
介绍:
Zener Diodes
 
 


: 点此下载
 
1
浏览型号MA4000(N) Series的Datasheet PDF文件第2页
2
浏览型号MA4000(N) Series的Datasheet PDF文件第3页
3
浏览型号MA4000(N) Series的Datasheet PDF文件第4页
4
浏览型号MA4000(N) Series的Datasheet PDF文件第5页
5
浏览型号MA4000(N) Series的Datasheet PDF文件第6页
6
 
本平台电子爱好着纯手工中文简译:截至2020/5/17日,支持英文词汇500个
406
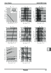
齐纳 二极管
参数 符号 条件 最小 典型值 最大值 单位
前进 电压 v
f
f
= 10 ma 0.83 0.9 v
齐纳 电压
*
2
v
z
z
··················
指定 值 v
操作 电阻
ZK
z
··················
指定 值
z
z
··················
指定 值
反向 电流
v
···············
指定 值
µ
一个
温度 系数 的 齐纳 电压
*
3
s
z
z
··················
指定 值 mv/
°
c
MAZ4000N
系列
(ma4000(n)
系列
)
硅 平面 类型
特点
极其 低 噪声 电压 导致 从 二极管 (1/3 至 1/10 的
我们的 常规 maz4000 系列)
极其 不错 上升 业绩 (入点 这 低电流 范围)
容易-至-识别 这 齐纳-电压 等级 由 这 颜色 乐队
容易-至-选择 这 最佳 二极管 因为 的 他们的 finely 分割
齐纳-电压 等级
容易-至-安装 通过 这 adoption 的 这 小 玻璃-密封 dhd
包装 (做-34)
绝对 最大值 额定值
t
一个
=
25
°
c
单位 : mm
参数 符号 评级 单位
平均值 前进 电流
f(av)
250 ma
重复性 峰值 前进 电流
FRM
250 ma
合计 电源 耗散
*
p
tot
400 mW
接合点 温度 t
j
200
°
c
存储 温度 t
stg
65 至
+
200
°
c
普通 电气 特性
t
一个
= 25
°
c
*1
备注) 1 额定 输入/输出 频率: 5 mhz
2 *
1
: 这 v
z
值 是 用于 这 温度 的 25
°
c. 入点 其他 案例, 进位 出点 这 温度 补偿.
*
2
: 保证 在 20 ms 之后 电源 应用程序.
*
3
:t
j
= 25
°
c 至 150
°
c
颜色 指示 的 v
z
等级 分类
阴极 开启 这 第一 乐队 (宽)
1 : 阴极
2 : 阳极
电子元件工业联合会 : 做-34
(主 车身 至 是 pained 入点 灯光 purple)
备注) * : 与 一个 印刷电路 板
参考 至 这 列表 的 这
电气 特性
内 零件 编号
l 等级 m 等级 h 等级
黑色 蓝色 红色
彩色 乐队 表示
vz 分类
1st 乐队
2nd 乐队
3rd 乐队
φ
0.45 最大值
φ
1.75 最大值
13 最小值13 最小值
2.6 最大值
2
1
2.85 最大值
备注) 这 零件 号码 入点 这 括号 显示 常规 零件 号码.
资料评论区:
点击回复标题作者最后回复时间

标 题:
内 容:
用户名:
手机号:    (*未登录用户需填写手机号,手机号不公开,可用于网站积分.)
      
关于我们 | 联系我们
电    话13410210660             QQ : 84325569   点击这里与集成电路资料查询网联系
联系方式: E-mail:CaiZH01@163.com