>┊
首页 | 最新需求 | 最新现货 | IC库存 | 供应商 | IC英文资料库 | IC中文资料库 | IC价格 | 电路图 | 应用资料 | 技术资料
 IC型号: 
您现在的位置:首页 >  IC英文资料库 进入手机版 
 
资料编号:1067793
 
资料名称:IRFR214
 
文件大小: 54215K
   
说明
 
介绍:
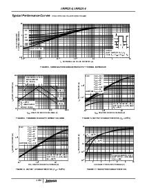
2.2A, 250V, 2.000 Ohm, N-Channel Power MOSFETs
 
 


: 点此下载
 
1
浏览型号IRFR214的Datasheet PDF文件第2页
2
浏览型号IRFR214的Datasheet PDF文件第3页
3
浏览型号IRFR214的Datasheet PDF文件第4页
4
浏览型号IRFR214的Datasheet PDF文件第5页
5
浏览型号IRFR214的Datasheet PDF文件第6页
6
 
本平台电子爱好着纯手工中文简译:截至2020/5/17日,支持英文词汇500个
4-383
注意事项: 这些 设备 是 敏感 至 静电 放电; 跟着 适当的 esd 搬运 程序.
http://www.intersil.com 或 407-727-9207
|
版权
©
intersil 公司 1999
irfr214, irfu214
2.2a, 250v, 2.000 欧姆, n通道 电源
MOSFETs
这些 是 n通道 增强功能 模式 硅 闸门
电源 field 效果 晶体管 设计, 已测试, 和
保证 至 承受 一个 specified 水平 的 能源 入点 这
击穿 雪崩 模式 的 操作. 他们 是
高级 电源 mosfets 是 设计 用于 使用 入点
应用程序 这样的 作为 开关 调节器, 开关
转换器, 电机 驱动程序, 继电器 驱动程序 和 驱动程序 用于 高-
电源 双极性 开关 晶体管 要求 速度
低 栅极驱动 电源. 这些 晶体管 可以 是 操作
直接 从 综合 电路.
以前 developmental 类型 ta17443.
特点
2.2a, 250v
•r
ds(开启)
= 2.000
单独 脉冲 雪崩 能源 额定
soa 是 电源 耗散 有限
纳秒 开关 速度
高 输入 阻抗
150
o
c 操作 温度
相关 文学
- tb334 “guidelines 用于 焊接 表面 安装
组件 至 pc boards”
符号
包装
电子元件工业联合会 至-251aa 电子元件工业联合会 至-252aa
订购 信息
零件 号码 包装 品牌
IRFR214 至-252aa IRFR214
IRFU214 至-251aa IRFU214
备注:
当 订购, 使用 这 整个 零件 号码.
g
d
s
闸门
来源
排水管
排水管 (法兰)
排水管 (法兰)
闸门
来源
数据 工作表 july 1999 文件 号码
3274.2
资料评论区:
点击回复标题作者最后回复时间

标 题:
内 容:
用户名:
手机号:    (*未登录用户需填写手机号,手机号不公开,可用于网站积分.)
      
关于我们 | 联系我们
电    话13410210660             QQ : 84325569   点击这里与集成电路资料查询网联系
联系方式: E-mail:CaiZH01@163.com