>┊
首页 | 最新需求 | 最新现货 | IC库存 | 供应商 | IC英文资料库 | IC中文资料库 | IC价格 | 电路图 | 应用资料 | 技术资料
 IC型号: 
您现在的位置:首页 >  IC英文资料库 进入手机版 
 
资料编号:120785
 
资料名称:ACT-5231PC-200F22Q
 
文件大小: 92.56K
   
说明
 
介绍:
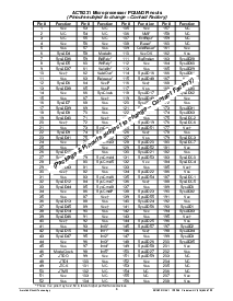
ACT5231 32-Bit Superscaler Microprocessor
 
 


: 点此下载
 
1
浏览型号ACT-5231PC-200F22Q的Datasheet PDF文件第2页
2
浏览型号ACT-5231PC-200F22Q的Datasheet PDF文件第3页
3
浏览型号ACT-5231PC-200F22Q的Datasheet PDF文件第4页
4
 
本平台电子爱好着纯手工中文简译:截至2020/5/17日,支持英文词汇500个
特点
eroflex 电路
技术
– risc turboengines 用于 这 未来 © scd5231 rev 1 12/22/98
块 图表
已满 军事化 qed rm5231 微处理器
引出线 兼容 与 受欢迎 rm5230 与 拆分 电源 sup
层板 (2.5v 和 3.3v)
双 问题 超标量 微处理器 - 可以 问题 一个
整数 和 一个 浮点 说明书 按 循环
133, 150 和 200 mhz 操作 频率 – 咨询 工厂 用于
最新 速度
325 dhrystone2.1 mips
specint95 5.0, specfp95 5.25
32-有点 系统 接口 降低 合计 系统 成本
高 业绩 写 协议 最大化 未缓存 写
带宽 与 600 mb 按 第二 峰值 吞吐量
操作 在 处理器 时钟 除数 2, 2.5, 3, 3.5,4, 4.5, 5, 6, 7, 8, 9
ieee 1149.1 jtag 边界 扫描
综合 片上 缓存
32kb 说明书 和 32kb 数据 - 2 方式 设置 联想 和 按
设置 锁定
几乎 索引, 物理 已标记
回写 和 直写 开启 按 第页 依据
管道 重新启动 开启 第一 双 用于 数据 高速缓存 错过
综合 记忆 管理 单位
完全 联想 接头 tlb (共享 由 我 和 d 翻译)
48 双 条目 地图 96 页数
变量 第页 尺寸 (4kb 至 16mb 入点 4x 增量)
高性能 浮动 点 单位
532 mflops 单精度 业绩
单独 循环 重复 费率 用于 普通 单独 精度 歌剧-区域
和 一些 双 精度 运营
两个 循环 重复 费率 用于 双 精度 相乘 和 双
精度 合并 乘-加 运营
单独 循环 重复 费率 用于 单独 精度 合并 相乘-
添加 操作
mips 四 说明书 设置
浮动 点 乘-加 说明书 增加 业绩 入点
信号 加工 和 图形 应用程序
有条件的 移动 至 减少 分支机构 频率
索引 地址 模式 (注册 + 注册)
嵌入式 应用程序 增强功能
专业化 dsp 整数 乘法-累加 说明书 和 3
操作数 相乘 说明书
我 和 d 高速缓存 锁定 由 设置
可选 专用 例外 向量 用于 中断
完全 静态 cmos 设计 与 电源 向下 逻辑
备用 减少 电源 模式 与 等待 说明书
2.7 w 典型 电源 @ 200mhz
2.5v 核心 与 3.3v io’s
128-管脚 电源 四边形-4 包装 (f22),
咨询 工厂 用于
包装 配置
初步
32-有点 superscaler 微处理器
ACT5231
资料评论区:
点击回复标题作者最后回复时间

标 题:
内 容:
用户名:
手机号:    (*未登录用户需填写手机号,手机号不公开,可用于网站积分.)
      
关于我们 | 联系我们
电    话13410210660             QQ : 84325569   点击这里与集成电路资料查询网联系
联系方式: E-mail:CaiZH01@163.com