>┊
首页 | 最新需求 | 最新现货 | IC库存 | 供应商 | IC英文资料库 | IC中文资料库 | IC价格 | 电路图 | 应用资料 | 技术资料
 IC型号: 
您现在的位置:首页 >  IC英文资料库 进入手机版 
 
资料编号:120807
 
资料名称:ACT-5230PC-200F22C
 
文件大小: 43.99K
   
说明
 
介绍:
ACT5230 32-Bit Superscaler Microprocessor
 
 


: 点此下载
 
1
浏览型号ACT-5230PC-200F22C的Datasheet PDF文件第2页
2
浏览型号ACT-5230PC-200F22C的Datasheet PDF文件第3页
3
浏览型号ACT-5230PC-200F22C的Datasheet PDF文件第4页
4
浏览型号ACT-5230PC-200F22C的Datasheet PDF文件第5页
5
浏览型号ACT-5230PC-200F22C的Datasheet PDF文件第6页
6
浏览型号ACT-5230PC-200F22C的Datasheet PDF文件第7页
7
 
本平台电子爱好着纯手工中文简译:截至2020/5/17日,支持英文词汇500个
特点
eroflex 电路
技术
– risc turboengines 用于 这 未来 © scd5230 rev 1 12/22/98
块 图表
已满 军事化 qed rm5230 微处理器
双 问题 超标量 微处理器 - 可以 问题 一个
整数 和 一个 浮点 说明书 按 循环
100, 133 和 150 mhz 操作 频率 – 咨询
工厂 用于 最新 速度
228 dhrystone2.1 mips
specint95 4.2 specfp95 4.5
32-有点 系统 接口 降低 合计 系统 成本 与 向上 至
87.5 mhz 操作 频率
高 业绩 写 协议 最大化 未缓存
写 带宽
操作 在 处理器 时钟 除数 2 通过 8
5v 宽容 我/o's
ieee 1149.1 jtag 边界 扫描
综合 片上 缓存
16kb 说明书 - 2 方式 设置 联想
16kb 数据 - 2 方式 设置 联想
几乎 索引, 物理 已标记
回写 和 直写 开启 按 第页 依据
早期 重新启动 开启 数据 高速缓存 错过
综合 记忆 管理 单位
完全 联想 接头 tlb (共享 由 我 和 d 翻译)
48 双 条目 地图 96 页数
变量 第页 尺寸 (4kb 至 16mb 入点 4x 增量)
高性能 浮动 点 单位
单独 循环 重复 费率 用于 普通 单独 精度
运营 和 一些 双 精度 运营
两个 循环 重复 费率 用于 双 精度 相乘 和
双 精度 合并 乘-加 运营
单独 循环 重复 费率 用于 单独 精度 合并
乘-加 操作
浮动 点 乘-加 说明书 增加
业绩 入点 信号 加工 和 图形
应用程序
有条件的 移动 至 减少 分支机构 频率
索引 地址 模式 (注册 + 注册)
嵌入式 应用程序 增强功能
专业化 dsp 整数 乘法-累加 说明书
和 3 操作数 相乘 说明书
我 和 d 高速缓存 锁定 由 设置
可选 专用 例外 向量 用于 中断
完全 静态 cmos 设计 与 电源 向下 逻辑
备用 减少 电源 模式 与 等待 说明书
2.5 瓦特 典型 与 较少 比 70 ma 备用 电流
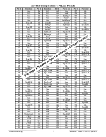
128-管脚 电源 四边形-4 包装 (f22),
咨询 工厂 用于
包装 配置
初步
商店 缓冲区
数据 设置 一个
数据 标签 一个
dtlb 物理
数据 标签 b
说明书 设置 一个
整数 说明书 注册
fp 说明书 注册
说明书 设置 b
地址 缓冲区
说明书 标签 一个
itlb 物理
说明书 标签 b
系统 广告
写 缓冲区
阅读 缓冲区
数据 设置 b
DBus
控制
浮点
注册 文件
接头 tlb
标签 辅助 标签
IntIBus
浮点
协处理器 0
unpacker/packer
madd, 添加, sub,cvt
pc incrementer
分支机构 加法器
DVA
荷载 aligner
整数 注册 文件
整数/地址 加法器
数据 tlb 虚拟
换档器/商店 aligner
逻辑 单位
整数 相乘, 除法
整数 控制
说明书 tlb 虚拟
浮动 点 控制
相位 锁 回路
说明书 选择
FPIBus
ABus
系统/记忆
控制
程序 计数器
IVA
div, sqrt
32-有点 superscaler 微处理器
ACT5230
资料评论区:
点击回复标题作者最后回复时间

标 题:
内 容:
用户名:
手机号:    (*未登录用户需填写手机号,手机号不公开,可用于网站积分.)
      
关于我们 | 联系我们
电    话13410210660             QQ : 84325569   点击这里与集成电路资料查询网联系
联系方式: E-mail:CaiZH01@163.com