>┊
首页 | 最新需求 | 最新现货 | IC库存 | 供应商 | IC英文资料库 | IC中文资料库 | IC价格 | 电路图 | 应用资料 | 技术资料
 IC型号: 
您现在的位置:首页 >  IC英文资料库 进入手机版 
 
资料编号:124574
 
资料名称:ADS1202I
 
文件大小: 311.38K
   
说明
 
介绍:
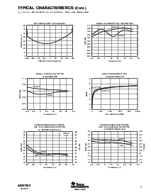
Motor Control Current Shunt 1-Bit, 10MHz, 2nd-Order, Delta-Sigma Modulator
 
 


: 点此下载
 
1
浏览型号ADS1202I的Datasheet PDF文件第2页
2
浏览型号ADS1202I的Datasheet PDF文件第3页
3
浏览型号ADS1202I的Datasheet PDF文件第4页
4
浏览型号ADS1202I的Datasheet PDF文件第5页
5
浏览型号ADS1202I的Datasheet PDF文件第6页
6
浏览型号ADS1202I的Datasheet PDF文件第7页
7
浏览型号ADS1202I的Datasheet PDF文件第8页
8
浏览型号ADS1202I的Datasheet PDF文件第9页
9
 
本平台电子爱好着纯手工中文简译:截至2020/5/17日,支持英文词汇500个
ADS1202
sbas275 – 12月 2002
www.ti.com
描述
这 ads1202 是 一个 精度, 80db 动态 范围, 三角洲-
西格玛 (
∆∑
) 调制器 操作 从 一个 单独 +5v 供应.
这 差速器 输入 是 理想 用于 直接 连接 至
传感器 或 低水平 信号. 与 这 适当的 数字
过滤器 和 调制器 费率, 这 设备 可以 是 已使用 至 实现
16-有点 模数转换 (一个/d) 换算 与 否 缺失
代码. 有效 分辨率 的 12 比特 可以 是 维护 与
一个 数字 过滤器 带宽 的 10khz 在 一个 调制器 费率 的
溶液 测量 应用程序 包括 电流 测量-
部分, 智能 变送器, 工业 流程 控制, 称重
刻度, chromatography, 和 便携式 仪器仪表. 它 是
可用 入点 一个 tssop-8 包装.
特点
16-有点 分辨率
13-有点 线性度
分辨率/速度 贸易-关:
10-有点 有效 分辨率 与 20
µ
s 信号
延迟 (12-有点 与 77
µ
s)
±
250mv 输入 范围 与 单独 5v 供应
2% 内部 参考 电压
2% 增益 错误
灵活 串行 接口 与 四
不同的 模式
已实施 twinned 二进制 编码 作为
拆分 相位 或 manchester 编码 用于
一个 线 接口
操作 温度 范围:
–40
°
c 至 +85
°
c
生产 数据 信息 是 电流 作为 的 出版物 日期.
产品 符合 至 规格 按 这 条款 的 德州 仪器仪表
标准 保修. 生产 加工 是否 不 必然 包括
测试 的 全部 参数.
版权 © 2002, 德州 仪器仪表 股份公司
电机 控制 电流 分流器
1-有点, 10mhz, 2nd-订单, 三角洲-西格玛 调制器
请 是 意识到 那 一个 重要 通知 关于 可用性, 标准 保修, 和 使用 入点 关键 应用程序 的
德州 仪器仪表 半导体 产品 和 免责声明 对此 出现 在 这 结束 的 这个 数据 工作表.
应用程序
电机 控制
电流 测量
工业 流程 控制
仪器仪表
智能 变送器
便携式 仪器仪表
重量 刻度
压力 传感器
缓冲区
参考
电压
2.5v
2nd-订单
∆∑
调制器
rc 振荡器
20MHz
接口
电路
MDAT
mclk
M0
M1
v
IN+
v
入点
v
dd
资料评论区:
点击回复标题作者最后回复时间

标 题:
内 容:
用户名:
手机号:    (*未登录用户需填写手机号,手机号不公开,可用于网站积分.)
      
关于我们 | 联系我们
电    话13410210660             QQ : 84325569   点击这里与集成电路资料查询网联系
联系方式: E-mail:CaiZH01@163.com