>┊
首页 | 最新需求 | 最新现货 | IC库存 | 供应商 | IC英文资料库 | IC中文资料库 | IC价格 | 电路图 | 应用资料 | 技术资料
 IC型号: 
您现在的位置:首页 >  IC英文资料库 进入手机版 
 
资料编号:138550
 
资料名称:APT1201R5BVR
 
文件大小: 63.17K
   
说明
 
介绍:
Power MOS V is a new generation of high voltage N-Channel enhancement mode power MOSFETs.
 
 


: 点此下载
 
1
浏览型号APT1201R5BVR的Datasheet PDF文件第2页
2
浏览型号APT1201R5BVR的Datasheet PDF文件第3页
3
浏览型号APT1201R5BVR的Datasheet PDF文件第4页
4
 
本平台电子爱好着纯手工中文简译:截至2020/5/17日,支持英文词汇500个
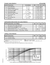
特性 / 测试一下 条件
漏源 击穿 电压 (v
gs
= 0v, 我
d
= 250
µ
一个)
开启 州 排水管 电流
2
(v
ds
> 我
d(开启)
x 右
ds(开启)
最大值, v
gs
= 10v)
漏源 开启状态 电阻
2
(v
gs
= 10v, 0.5 我
d[cont.]
)
零 闸门 电压 排水管 电流 (v
ds
= v
DSS
, v
gs
= 0v)
零 闸门 电压 排水管 电流 (v
ds
= 0.8 v
DSS
, v
gs
= 0v, t
c
= 125
°
c)
栅极-源极 泄漏 电流 (v
gs
=
±
30v, v
ds
= 0v)
闸门 阈值 电压 (v
ds
= v
gs
, 我
d
= 1.0ma)
050-5563 rev 一个
最大值 额定值
全部 额定值: t
c
= 25
°
c 除非 否则 指定.
符号
v
DSS
d
dm
v
gs
v
GSM
p
d
t
j
,t
stg
t
l
ar
e?
ar
e?
作为
参数
漏源 电压
连续 排水管 电流 @ t
c
= 25
°
c
脉冲 排水管 电流
1
栅极-源极 电压 连续
栅极-源极 电压 瞬态
合计 电源 耗散 @ t
c
= 25
°
c
线性 降额 因素
操作 和 存储 接合点 温度 范围
铅 温度: 0.063" 从 案例 用于 10 秒.
雪崩 电流
1
(重复性 和 非-重复性)
重复性 雪崩 能源
1
单独 脉冲 雪崩 能源
4
单位
伏特
安培数
伏特
瓦特
w/
°
c
°
c
安培数
mJ
静态 电气 特性
符号
BV
DSS
d(开启)
ds(开启)
DSS
GSS
v
gs(th)
单位
伏特
安培数
欧姆
µ
一个
不适用
伏特
最小 典型值 最大值
1200
10
1.500
25
250
±
100
24
APT1201R5BVR
1200
10
40
±
30
±
40
370
2.96
电源 mos v
®
是 一个 新建 世代 的 高 电压 n通道 增强功能
模式 电源 mosfets. 这个 新建 技术 最小化 这 jfet 效果,
增加 填料 密度 和 减少 这 开启-电阻. 电源 mos v
®
也 达到 更快 开关 速度 通过 优化 闸门 布局.
更快 开关 100% 雪崩 已测试
下部 泄漏 受欢迎 至-247 包装
g
d
s
电源 mos v
®
注意事项:
这些 设备 是 敏感 至 静电 放电. 适当的 搬运 程序 应该 是 跟踪.
USA
405 s.w. columbia 街道 弯管, oregon 97702-1035 电话: (541)382-8028 传真: (541)388-0364
欧洲
avenue j.f. kennedy bât b4 parc cadéra nord f-33700 merignac - 法国 电话: (33) 5 57 92 15 15 传真: (33) 5 56 47 97 61
apt 网站 - http://www.advancedpower.com
资料评论区:
点击回复标题作者最后回复时间

标 题:
内 容:
用户名:
手机号:    (*未登录用户需填写手机号,手机号不公开,可用于网站积分.)
      
关于我们 | 联系我们
电    话13410210660             QQ : 84325569   点击这里与集成电路资料查询网联系
联系方式: E-mail:CaiZH01@163.com