>┊
首页 | 最新需求 | 最新现货 | IC库存 | 供应商 | IC英文资料库 | IC中文资料库 | IC价格 | 电路图 | 应用资料 | 技术资料
 IC型号: 
您现在的位置:首页 >  IC英文资料库 进入手机版 
 
资料编号:277013
 
资料名称:27C512TRPFE-20
 
文件大小: 139.66K
   
说明
 
介绍:
512K (64K x 8-Bit) OTP EPROM
 
 


: 点此下载
 
1
浏览型号27C512TRPFE-20的Datasheet PDF文件第2页
2
浏览型号27C512TRPFE-20的Datasheet PDF文件第3页
3
浏览型号27C512TRPFE-20的Datasheet PDF文件第4页
4
浏览型号27C512TRPFE-20的Datasheet PDF文件第5页
5
浏览型号27C512TRPFE-20的Datasheet PDF文件第6页
6
浏览型号27C512TRPFE-20的Datasheet PDF文件第7页
7
浏览型号27C512TRPFE-20的Datasheet PDF文件第8页
8
浏览型号27C512TRPFE-20的Datasheet PDF文件第9页
9
 
本平台电子爱好着纯手工中文简译:截至2020/5/17日,支持英文词汇500个
1
记忆
全部 数据 床单 是 主题 至 变更 无 通知
(858) 503-3300 - 传真: (858) 503-3301 - www.maxwell.com
512k (64k x 8-有点) otp 非易失存储器
27C512T
©2003 maxwell 技术
全部 权利 保留.
06.24.03 rev 4
f
性质
:
64k x 8-有点 otp 非易失存储器 组织机构
•R
广告
-p
ak
® 辐射-硬化 反对 天然 空间
辐射
合计 剂量 硬度:
优秀 单独 事件 效果:
-选择
th
> 80 mev/毫克/平方厘米
-seu
th
> 80 mev/毫克/平方厘米
包装:
-32 管脚 右
广告
-p
ak
® 扁平 空调组件
-32 管脚 右
广告
-p
ak
® 倾角
快 访问权限 时间:
低 电源 耗散:
- 活动 模式: 100 mw/mhz (典型值)
编程 电源 供应:
- v
pp
= 12.5 v + 0.3 v
一次性 可编程
管脚 安排
- 电子元件工业联合会 标准 字节宽 非易失存储器
d
ESCRIPTION
:
maxwell 技术’ 27c512t 高 密度 512-kilobit 一个-
时间 可编程 电气 可编程 阅读 仅 mem-
ory 微电路 特点 一个 更大 比 100 克拉 (si) 合计
剂量 公差, 取决于 在 空间 任务. 这 27c512t
特点 快 地址 次 和 低 电源 耗散. 这
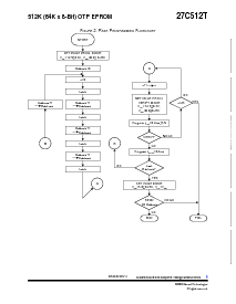
27c512t 优惠 高 速度 编程 使用 第页 专业版-
gramming 模式.
maxwell 技术' 专利 右
广告
-p
ak
® 包装 技术-
ogy 包含 辐射 屏蔽 入点 这 微电路 空调组件-
年龄. 它 消除 这 需要 用于 框 屏蔽 同时 提供
这 必填项 辐射 屏蔽 用于 一个 使用寿命 入点 影响范围 或 空间
任务. 入点 一个 geo 影响范围, 右
广告
-p
ak
提供 更大 比 100
克拉 (si) 辐射 剂量 公差. 这个 产品 是 可用
与 筛选 向上 至 类 s.
x-解码器
1024 x 1022
记忆 矩阵
输入
数据
控制
y- 浇口
y - 解码器
h
a0-a4
a10-a11
oe
PGM
a5-a9
v
抄送
v
pp
v
ss
a12-a16
我/o0
我/o15
h
ce
: 高 阈值 逆变器
逻辑 图表
资料评论区:
点击回复标题作者最后回复时间

标 题:
内 容:
用户名:
手机号:    (*未登录用户需填写手机号,手机号不公开,可用于网站积分.)
      
关于我们 | 联系我们
电    话13410210660             QQ : 84325569   点击这里与集成电路资料查询网联系
联系方式: E-mail:CaiZH01@163.com