>┊
首页 | 最新需求 | 最新现货 | IC库存 | 供应商 | IC英文资料库 | IC中文资料库 | IC价格 | 电路图 | 应用资料 | 技术资料
 IC型号: 
您现在的位置:首页 >  IC英文资料库 进入手机版 
 
资料编号:50683
 
资料名称:AT49BV1614-90TI
 
文件大小: 214K
   
说明
 
介绍:
16-Megabit 1M x 16/2M x 8 3-volt Only Flash Memory
 
 


: 点此下载
 
1
浏览型号AT49BV1614-90TI的Datasheet PDF文件第2页
2
浏览型号AT49BV1614-90TI的Datasheet PDF文件第3页
3
浏览型号AT49BV1614-90TI的Datasheet PDF文件第4页
4
浏览型号AT49BV1614-90TI的Datasheet PDF文件第5页
5
浏览型号AT49BV1614-90TI的Datasheet PDF文件第6页
6
浏览型号AT49BV1614-90TI的Datasheet PDF文件第7页
7
浏览型号AT49BV1614-90TI的Datasheet PDF文件第8页
8
浏览型号AT49BV1614-90TI的Datasheet PDF文件第9页
9
 
本平台电子爱好着纯手工中文简译:截至2020/5/17日,支持英文词汇500个
1
特点
2.7v 至 3.3v 阅读/写
访问权限 时间 - 90 ns
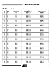
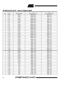
部门 擦除 体系结构
三十 32k 字 (64k 字节) 扇区 与 个人 写 上锁
八 4k 字 (8k 字节) 扇区 与 个人 写 上锁
两个 16k 字 (32k 字节) 扇区 与 个人 写 上锁
快 字 程序 时间 - 20 µs
快 部门 擦除 时间 - 200 ms
双 平面 组织机构, 允许 并发 阅读 同时 程序/擦除
记忆 平面 一个: 八 4k 字, 两个 16k 字 和 六个 32k 字 扇区
记忆 平面 b: 二十-四 32k 字 扇区
擦除 挂起 能力
支架 阅读/编程 数据 从 任何 部门 由 暂停 擦除 的
任何 不同的 部门
低功耗 操作
–25 ma 活动
10 µa 备用
数据轮询, 切换 有点, 准备就绪/忙 用于 结束 的 程序 检测
可选 vpp 管脚 用于 快 编程
重置 输入 用于 设备 初始化
部门 程序 解锁 命令
tsop, cbga, 和 µbga 包装 选项
顶部 或 底部 引导 块 配置 可用
描述
这 at49bv16x4(t) 是 2.7- 至 3.3-电压 16-兆位 闪光灯 记忆 有组织的 作为
1,048,576 字词 的 16 比特 每个 或 2,097,152 字节数 的 8 比特 每个. 这 x16 数据
µ
bga 软件包. 这 设备 有 ce
, 和 oe 控制 信号 至 避免 任何 总线
16-兆位
(1m x 16/2m x 8)
3-电压 仅
闪光灯 记忆
AT49BV1604
AT49BV1604T
AT49BV1614
AT49BV1614T
rev. 0925h–08/99
管脚 配置
管脚 姓名 功能
a0 - a19 地址
ce 芯片 启用
oe
输出 启用
我们
写 启用
重置 重置
rdy/忙
准备就绪/忙输出
VPP
可选 电源 供应 用于 更快
程序/擦除 运营
我/o0 - 我/o14 数据 输入/产出
我/o15 (一个-1)
我/o15 (数据 输入/输出, 字 模式)
一个-1 (lsb 地址 输入, 字节 模式)
字节
选择 字节 或 字 模式
nc 否 连接
VCCQ 输出 电源 供应
直流 唐’t 连接
(续)
资料评论区:
点击回复标题作者最后回复时间

标 题:
内 容:
用户名:
手机号:    (*未登录用户需填写手机号,手机号不公开,可用于网站积分.)
      
关于我们 | 联系我们
电    话13410210660             QQ : 84325569   点击这里与集成电路资料查询网联系
联系方式: E-mail:CaiZH01@163.com