>┊
首页 | 最新需求 | 最新现货 | IC库存 | 供应商 | IC英文资料库 | IC中文资料库 | IC价格 | 电路图 | 应用资料 | 技术资料
 IC型号: 
您现在的位置:首页 >  IC英文资料库 进入手机版 
 
资料编号:656977
 
资料名称:TPA3007D1PW
 
文件大小: 279.3K
   
说明
 
介绍:
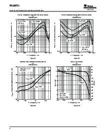
6.5-W MONO CLASS-D AUDIO POWER AMPLIFIER
 
 


: 点此下载
 
1
浏览型号TPA3007D1PW的Datasheet PDF文件第2页
2
浏览型号TPA3007D1PW的Datasheet PDF文件第3页
3
浏览型号TPA3007D1PW的Datasheet PDF文件第4页
4
浏览型号TPA3007D1PW的Datasheet PDF文件第5页
5
浏览型号TPA3007D1PW的Datasheet PDF文件第6页
6
浏览型号TPA3007D1PW的Datasheet PDF文件第7页
7
浏览型号TPA3007D1PW的Datasheet PDF文件第8页
8
浏览型号TPA3007D1PW的Datasheet PDF文件第9页
9
 
本平台电子爱好着纯手工中文简译:截至2020/5/17日,支持英文词汇500个
www.ti.com
FEATURESDESCRIPTION
应用程序
INN
inp
GAIN0
停机
PGND
VCLAMP
BSN
PV
抄送
OUTN
OUTN
PGND
v
抄送
VREF
旁路
COSC
ROSC
AGND
AGND
BSP
PV
抄送
outp
GAIN1
outp
PGND
1
2
3
4
5
6
7
8
9
10
11
12
24
23
22
21
20
19
18
17
16
15
14
13
R3
51
C9
0.22
µ
f
C6
1
µ
f
D1
v
抄送
C12
220 pf
C11
1
µ
f
C3
1
µ
f
C4
1
µ
f
v
抄送
L2
(铁氧体
珠子)
L1
(铁氧体
珠子)
C15
1 nf
C14
1 nf
D2
R2
51
C8
0.22
µ
f
C5
1
µ
f
C7
10
µ
f
C10
1
µ
f
C1
0.47
µ
f
C2
0.47
µ
f
IN−
IN+
增益 选择
增益 选择
停机
控制
U1
TPA3007D1
v
抄送
R1
120 k
TPA3007D1
SLOS418A–SEPTEMBER2003–REVISEDDECEMBER2004
6.5-wmonoclass-daudiopoweramplifier
6.5winto8-
loadfrom12-vsupply
thetpa3007d1isa6.5-wmonobridge-tiedload
(10%thd+n)
(btl)类-daudiopoweramplifierwithhighef-
效率,eliminatingtheneedforheatsinks.这
shortcircuitprotection(shorttov
抄送
,短
tpa3007d1candrive8-
speakerswithonlya
tognd,shortbetweenoutputs)
ferritebeadfilterrequiredtoreduceemi.
第三-generationmodulationtechnique:
Thegainoftheamplifieriscontrolledbytwoinput
–replaceslargelcfilterwithsmall,
接线端子,gain1andgain0.thisallowstheampli-
低-costferritebeadfilterinmost
fiertobeconfiguredforagainof12,18,23.6,and36
应用程序
db.thedifferentialinputstageprovideshighcom-
–ImprovedEfficiency
monmoderejectionandimprovedpowersupply
拒收.
–ImprovedSNR
lowsupplycurrent...8matypat12v
Theamplifieralsoincludesdepopcircuitrytoreduce
theamountofpopatpower-upandwhencycling
shutdowncontrol...&指示灯;1µatyp
停机.
thetpa3007d1isavailableinthe24-pintssop
包装(pw)anddoesnotrequireanexternalheat
lcdmonitors/tvs
水槽.
DesktopReplacementNotebookPCs
手-freecarkits
PoweredSpeakers
FunctionalSchematicDiagram
pleasebeawarethatanimportantnoticeconcerningavailability,标准保修,anduseincriticalapplicationsoftexas
instrumentssemiconductorproductsanddisclaimerstheretoappearsattheendofthisdatasheet.
productiondatainformationiscurrentasofpublicationdate.
copyright©2003–2004,texasinstrumentsincorporated
ProductsconformtospecificationsperthetermsoftheTexas
instrumentsstandardwarranty.productionprocessingdoesnot
必要包括测试所有参数.
资料评论区:
点击回复标题作者最后回复时间

标 题:
内 容:
用户名:
手机号:    (*未登录用户需填写手机号,手机号不公开,可用于网站积分.)
      
关于我们 | 联系我们
电    话13410210660             QQ : 84325569   点击这里与集成电路资料查询网联系
联系方式: E-mail:CaiZH01@163.com