>┊
首页 | 最新需求 | 最新现货 | IC库存 | 供应商 | IC英文资料库 | IC中文资料库 | IC价格 | 电路图 | 应用资料 | 技术资料
 IC型号: 
您现在的位置:首页 >  IC英文资料库 进入手机版 
 
资料编号:6815
 
资料名称:232264090059
 
文件大小: 49.46K
   
说明
 
介绍:
NTC Thermistors, Long Insulated Leads
 
 


: 点此下载
 
1
浏览型号232264090059的Datasheet PDF文件第2页
2
 
本平台电子爱好着纯手工中文简译:截至2020/5/17日,支持英文词汇500个
ntc 热敏电阻, 长 绝缘 导联
2322 640 90059
vishay bccomponents
文件 号码: 29047 用于 技术类 提问 联系人: nlr
.europe@vishay.com www.vishay.com
修订: 10-oct-03 95
特点
长 和 灵活 导联 用于 特殊 安装 或 总成
要求
绝缘 导联 用于 预防 的 短 电路
电气 特点 的 ‘accuracy 线’ 传感器
小 直径.
应用程序
温度 感应 和 控制.
这些 热敏电阻 有 一个 负 温度 系数.
这 设备 由 的 一个 芯片 与 两个 绝缘 镍 导联.
包装
这 热敏电阻 是 已包装 入点 cardboard 盒子; 这 最小
填料 数量 是 1000 单位.
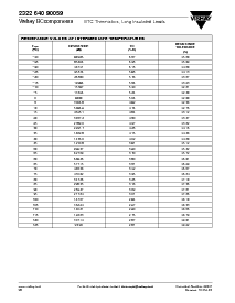
快速 参考 数据
参数
电阻 值 在:
0
°
c 9000
25
°
c 2769
公差 开启 右
25
-值:
0
°
c
±
2%
25
°
c
±
3.82%
B
25/85
-值 3977 k
最大值 耗散 100 mw
耗散 因素
δ
1.35 mw/k
最小值 电介质
承受 电压 (rms)
之间 导联 和 涂层
500 v
响应 时间 1.25 s
操作 温度 范围:
在 零 电源
40 至 +125
°
c
在 最大值 电源 0 至 +55
°
c
climatic 类别 40/125/56
质量
0.16 g
尺寸
入点 毫米

±










标记
这 车身 是 涂层 与 ochre-coloured 环氧树脂 lacquer 和 是
不 已标记.
安装
由 焊接 入点 任何 位置
资料评论区:
点击回复标题作者最后回复时间

标 题:
内 容:
用户名:
手机号:    (*未登录用户需填写手机号,手机号不公开,可用于网站积分.)
      
关于我们 | 联系我们
电    话13410210660             QQ : 84325569   点击这里与集成电路资料查询网联系
联系方式: E-mail:CaiZH01@163.com