>┊
首页 | 最新需求 | 最新现货 | IC库存 | 供应商 | IC英文资料库 | IC中文资料库 | IC价格 | 电路图 | 应用资料 | 技术资料
 IC型号: 
您现在的位置:首页 >  IC英文资料库 进入手机版 
 
资料编号:803540
 
资料名称:ADS7822EB/2K5
 
文件大小: 431K
   
说明
 
介绍:
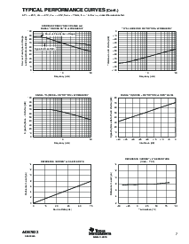
12-Bit, High-Speed, 2.7V microPower Sampling ANALOG-TO-DIGITAL CONVERTER
 
 


: 点此下载
 
1
浏览型号ADS7822EB/2K5的Datasheet PDF文件第2页
2
浏览型号ADS7822EB/2K5的Datasheet PDF文件第3页
3
浏览型号ADS7822EB/2K5的Datasheet PDF文件第4页
4
浏览型号ADS7822EB/2K5的Datasheet PDF文件第5页
5
浏览型号ADS7822EB/2K5的Datasheet PDF文件第6页
6
浏览型号ADS7822EB/2K5的Datasheet PDF文件第7页
7
浏览型号ADS7822EB/2K5的Datasheet PDF文件第8页
8
浏览型号ADS7822EB/2K5的Datasheet PDF文件第9页
9
 
本平台电子爱好着纯手工中文简译:截至2020/5/17日,支持英文词汇500个
ADS7822
描述
这 ads7822 是 一个 12-有点 取样 模数转换 (一个/d)
变频器 与 确保 规格 结束 一个 2.7v 至 5.25v
供应 范围. 它 需要 很 小 电源 甚至 当 操作-
正在处理 在 这 已满 75khz 费率. 在 下部 换算 费率, 这
高 速度 的 这 设备 启用 它 至 花费 大多数 的 其 时间
入点 这 掉电 mode—the 电源 耗散 是 较少 比
60
µ
w 在 7.5khz.
这 ads7822 也 特点 操作 从 2.0v 至 5v, 一个
同步 串行 接口, 和 一个 伪微分 输入.
范围 的 50mv 至 v
抄送
.
超 低 电源 和 小 尺寸 制造 这 ads7822 理想 用于
电池供电 系统. 它 是 也 一个 完美 适合 用于 远程
数据 收购 模块, 同时 多通道 系统-
临时, 和 隔离 数据 收购. 这 ads7822 是 可用-
能 入点 一个 塑料 迷你-倾角-8, 一个 soic-8, 或 一个 msop-8
包装.
12-有点, 高-速度, 2.7v
微型
电源 取样
模数转换 变频器
特点
75khz 取样 费率
微型 电源:
0.54mw 在 75khz
0.06mw 在 7.5khz
电源 向下: 3
µ
一个 最大值
迷你-倾角-8, soic-8, 和 msop-8
伪微分 输入
串行 接口
sar
控制
串行
接口
d
出点
比较器
s/h 放大器
cs/shdn
DCLOCK
+In
v
参考
–In
CDAC
应用程序
电池供电 系统
远程 数据 收购
隔离 数据 收购
同时 取样,
多通道 系统
OPA658
一个
d
s
7
8
2
2
一个
d
s
7
8
2
2
SBAS062A
january 1996
修订 march 2005
www.ti.com
生产 数据 信息 是 电流 作为 的 出版物 日期.
产品 符合 至 规格 按 这 条款 的 德州 仪器仪表
标准 保修. 生产 加工 是否 不 必然 包括
测试 的 全部 参数.
版权 © 1996-2005, 德州 仪器仪表 股份公司
请 是 意识到 那 一个 重要 通知 关于 可用性, 标准 保修, 和 使用 入点 关键 应用程序 的
德州 仪器仪表 半导体 产品 和 免责声明 对此 出现 在 这 结束 的 这个 数据 工作表.
全部 商标 是 这 财产 的 他们的 各自 业主.
资料评论区:
点击回复标题作者最后回复时间

标 题:
内 容:
用户名:
手机号:    (*未登录用户需填写手机号,手机号不公开,可用于网站积分.)
      
关于我们 | 联系我们
电    话13410210660             QQ : 84325569   点击这里与集成电路资料查询网联系
联系方式: E-mail:CaiZH01@163.com