>┊
首页 | 最新需求 | 最新现货 | IC库存 | 供应商 | IC英文资料库 | IC中文资料库 | IC价格 | 电路图 | 应用资料 | 技术资料
 IC型号: 
您现在的位置:首页 >  IC英文资料库 进入手机版 
 
资料编号:829882
 
资料名称:HY29F002TT-55
 
文件大小: 381K
   
说明
 
介绍:
2 Megabit (256K x 8), 5 Volt-only, Flash Memory
 
 


: 点此下载
 
1
浏览型号HY29F002TT-55的Datasheet PDF文件第2页
2
浏览型号HY29F002TT-55的Datasheet PDF文件第3页
3
浏览型号HY29F002TT-55的Datasheet PDF文件第4页
4
浏览型号HY29F002TT-55的Datasheet PDF文件第5页
5
浏览型号HY29F002TT-55的Datasheet PDF文件第6页
6
浏览型号HY29F002TT-55的Datasheet PDF文件第7页
7
浏览型号HY29F002TT-55的Datasheet PDF文件第8页
8
浏览型号HY29F002TT-55的Datasheet PDF文件第9页
9
 
本平台电子爱好着纯手工中文简译:截至2020/5/17日,支持英文词汇500个
钥匙 特点
5 电压 阅读, 程序, 和 擦除
最小化 系统级 电源 要求
高 业绩
访问权限 次 作为 快 作为 45 ns
低 电源 消费
20 ma 典型 活动 阅读 电流
30 ma 典型 程序/擦除 电流
1 µa 典型 cmos 备用 电流
包装, 引出线 和 命令-设置
兼容 与 这 单电源 闪光灯
设备 标准
提供 上级 无意 写
保护
部门 擦除 体系结构
引导 部门 体系结构 与 顶部 引导
块 位置
一个 16 kbyte, 两个 8 kbyte, 一个 32 kbyte
和 三个 64k 字节 扇区
一个 命令 可以 擦除 任何 组合 的
扇区
擦除 挂起/简历
暂时 暂停 一个 部门 擦除
操作 至 允许 数据 至 是 阅读 从, 或
编程 进入, 任何 部门 不 正在
已擦除
部门 保护
任何 组合 的 扇区 将 是
已锁定 至 防止 程序 或 擦除
运营 内 那些 扇区
临时 部门 取消保护
允许 变更 入点 已锁定 扇区
(需要 高 电压 开启 reset# 管脚)
内部 擦除 算法
自动 擦除 一个 部门, 任何
组合 的 扇区, 或 这 整个 芯片
内部 编程 算法
自动 程序 和 验证 数据
在 一个 指定 地址
快 程序 和 擦除 次
字节 编程 时间: 7 µs 典型
部门 擦除 时间: 1.0 秒 典型
芯片 擦除 时间: 7 秒 典型
data# 轮询 和 切换 状态 比特
提供 软件 确认 的
竣工 的 程序 或 擦除
运营
最小值 100,000 程序/擦除 循环次数
空间 高效 包装
可用 入点 行业标准 32-管脚
tsop 和 plcc 软件包
修订 4.1, 将 2001
概述 描述
这 hy29f002t 是 一个 2 兆位, 5 仅电压
cmos 闪光灯 记忆 有组织的 作为 262,144
(256k) 字节数. 这 设备 是 提供 入点 行业-
标准 32-管脚 tsop 和 plcc 软件包.
这 hy29f002t 可以 是 编程 和 已擦除
在系统内 与 一个 单独 5-电压 v
抄送
供应. 国际米兰-
纳利 已生成 和 受规管 电压 是 专业版-
vided 用于 程序 和 擦除 运营, 所以 那
这 设备 是否 不 需要 一个 高 电压 电源
供应 至 执行 那些 功能. 这 设备 可以
也 是 编程 入点 标准 非易失存储器 专业版-
grammers. 访问权限 次 作为 快 作为 55ns 结束 这
已满 操作 电压 范围 的 5.0 伏特 ± 10% 是
提供 用于 计时 兼容性 与 这 零 等待
州 要求 的 高 速度 微处理器.
一个 45ns 版本 操作 结束 5.0 伏特 ± 5% 是
也 可用. 至 消除 总线 争用, 这
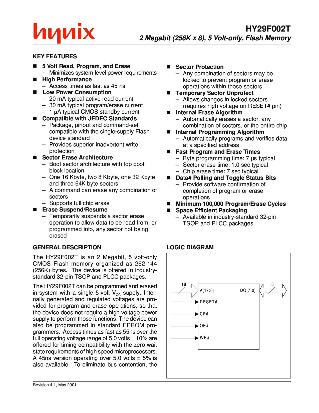
a[17:0]
18
CE#
OE#
WE#
8
dq[7:0]
RESET#
逻辑 图表
HY29F002T
2 兆位 (256k x 8), 5 电压-仅, 闪光灯 记忆
资料评论区:
点击回复标题作者最后回复时间

标 题:
内 容:
用户名:
手机号:    (*未登录用户需填写手机号,手机号不公开,可用于网站积分.)
      
关于我们 | 联系我们
电    话13410210660             QQ : 84325569   点击这里与集成电路资料查询网联系
联系方式: E-mail:CaiZH01@163.com